position_nudge_line() is generally useful for adjusting the starting
position of labels or text to be repelled while preserving the original
position as the start of the segments. The difference compared to
position_nudge_center is that the nudging is away from from a
line or curve fitted to the data points or supplied as coefficients. While
position_nudge_center() is most useful for "round-shaped", vertically-
or horizontally elongated clouds of points, position_nudge_line() is
most suitable when observations follow a linear or curvilinear relationship
between x and y values. In contrast to
position_nudge, position_nudge_line() returns
in `data` both the original coordinates and the nudged coordinates.
Arguments
- x, y
Amount of vertical and horizontal distance to move. A numeric vector of length 1 or longer.
- xy_relative
Nudge relative to x and y data expanse, ignored unless
xandyare bothNAs.- abline
a vector of length two giving the intercept and slope.
- method
One of
"spline","lm"or"auto".- formula
A model formula for
lmwhenmethod = "lm". Ignored otherwise.- direction
One of
"automatic","none", or"split".- line_nudge
A positive multiplier >= 1, increasing nudging away from the curve or line compared to nudging from points.
- kept.origin
One of
"original"or"none".
Details
The default amount of nudging is 3
x and y axes, which in most cases is good. In most cases it is best to
apply nudging along a direction perpendicular to the line or curve, if this
is the aim, passing an argument to only one of x, y or
xy_relative will be enough. When direction = "split" nudging
is away from an implicit line or curve on either side with positive
nudging. The line or curve can be smooth spline or linear regression fitted
on-the-fly to the data points, or a straight line defined by its
coefficients passed to abline. The fitting is well defined only if
the observations fall roughly on a curve or straight line that is monotonic
in y. By means of line_nudge one can increment nudging away
from the line or curve compared to away from the points, which is useful
for example to keep labels outside of a confidence band. Direction defaults
to "split" when line_nudge > 1, and otherwise to
"none".
Note
For method = "lm" only model formulas corresponding to
polynomials with no missing terms are supported. If usingpoly
in the model formula, raw = TRUE is required.
In practice, x and y should have the same sign for nudging to
work correctly.
This position is most useful when labeling points conforming a cloud along an arbitrary curve or line.
Examples
set.seed(16532)
df <- data.frame(
x = -10:10,
y = (-10:10)^2,
yy = (-10:10)^2 + rnorm(21, 0, 4),
yyy = (-10:10) + rnorm(21, 0, 4),
l = letters[1:21]
)
# Setting the nudging distance
ggplot(df, aes(x, y, label = l)) +
geom_line(linetype = "dotted") +
geom_point() +
geom_text(position = position_nudge_line())
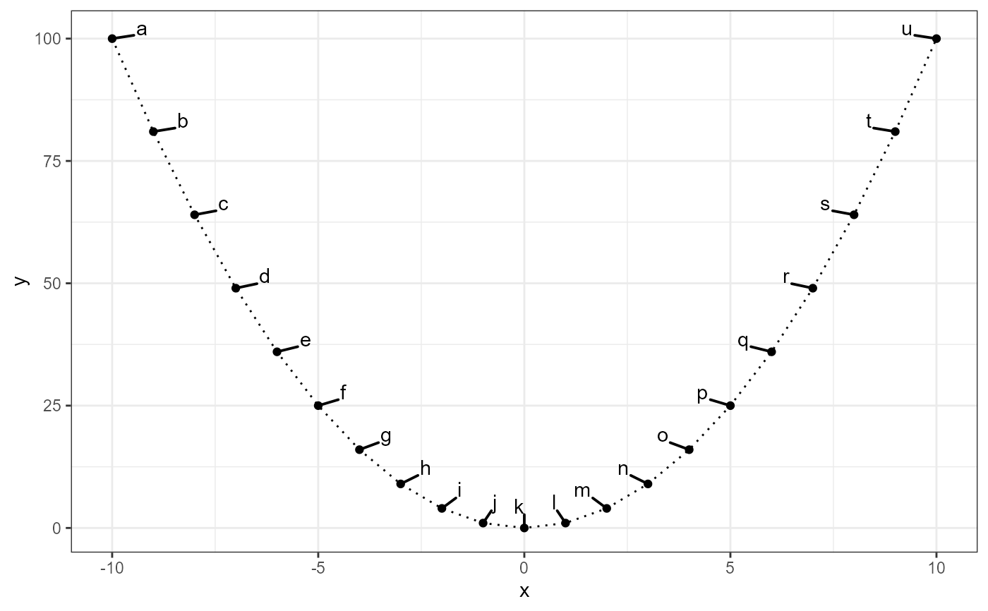
ggplot(df, aes(x, y, label = l)) +
geom_line(linetype = "dotted") +
geom_point() +
geom_text_s(position = position_nudge_line())
ggplot(df, aes(x, y, label = l)) +
geom_line(linetype = "dotted") +
geom_point() +
geom_text(position = position_nudge_line(xy_relative = -0.03))
ggplot(df, aes(x, y, label = l)) +
geom_line(linetype = "dotted") +
geom_point() +
geom_text(position = position_nudge_line(x = 0.6, y = 3.2))
ggplot(df, aes(x, y, label = l)) +
geom_line(linetype = "dotted") +
geom_point() +
geom_text(position = position_nudge_line(x = -0.6, y = -4))
# Other curves, using defaults
ggplot(df, aes(x, -y, label = l)) +
geom_line(linetype = "dotted") +
geom_point() +
geom_text(position = position_nudge_line())
ggplot(subset(df, x >= 0), aes(y, sqrt(y), label = l)) +
geom_line(linetype = "dotted") +
geom_point() +
geom_text(position = position_nudge_line())
# Points scattered near a curve or line, we use 'direction = "split"'
ggplot(df, aes(x)) +
geom_line(aes(y = y), linetype = "dotted") +
geom_point(aes(y = yy)) +
geom_text(aes(y = yy, label = l),
position = position_nudge_line(direction = "split"))
ggplot(subset(df, x >= 0), aes(y, yy)) +
stat_smooth(method = "lm", formula = y ~ x) +
geom_point() +
geom_text(aes(label = l),
position = position_nudge_line(direction = "split"))
# increasing the nudging for labels near the line
ggplot(subset(df, x >= 0), aes(y, yy)) +
stat_smooth(method = "lm", formula = y ~ x) +
geom_point() +
geom_text(aes(label = l),
position = position_nudge_line(line_nudge = 2,
direction = "split"))
# fitting a linear model instead of the default spline
ggplot(subset(df, x >= 0), aes(y, yy)) +
stat_smooth(method = "lm", formula = y ~ x) +
geom_point() +
geom_text(aes(label = l),
position = position_nudge_line(method = "lm",
direction = "split"))
ggplot(subset(df, x >= 0), aes(x, x^2)) +
stat_smooth(method = "lm", formula = y ~ poly(x, 2, raw = TRUE)) +
geom_point() +
geom_text(aes(label = l),
position = position_nudge_line(method = "lm",
formula = y ~ poly(x, 2, raw = TRUE)))
